Articles | Volume 16, issue 6
https://doi.org/10.5194/esd-16-2003-2025
https://doi.org/10.5194/esd-16-2003-2025
Research article
 | 
14 Nov 2025
Research article |  | 14 Nov 2025

Climate change metrics: bridging IPCC AR6 updates and dynamic life cycle assessments

Vladimir Zieger, Thibaut Lecompte, Simon Guihéneuf, Yann Guevel, Manuel Bazzana, Thomas Gasser, and Yue He
Abstract

Climate change metrics result from analytical simplification of complex and diverse climate models that are generally not deeply investigated by Life Cycle Assessment communities. We investigated the Sixth Assessment Report of the Intergovernmental Panel on Climate Change to properly gather updated metric equations, climate parameters and associated uncertainties. Metrics are mainly designed with a single gas pulse emission at t0 whereas multi-gas and multi-time pulse emissions are mostly encountered in LCA modelling. Therefore, common static and relative metrics might not suit dynamic climate change assessments (dCCA) that differentiate pulse timing and gas contributions over time. This study focuses on absolute and dynamic metrics – cumulative radiative forcing (AGWP or ΔF) and global temperature change (AGTP or ΔT) – applied to well-mixed greenhouse gases. Cumulative radiative forcing assessment at 20, 100, 500 years appears sufficient. Global temperature change metrics have some advantages that offset their higher uncertainties. (1) Degree Celsius unit better suits peak warming targets. (2) Positive and negative peaks, as well as long-term temperature change, partly alleviate the time horizon decision issue while assessing product systems. (3) Graphical representations are comparable to simultaneously depict short- and long-lived climate forcers. In future assessment reports, IPCC is invited to recall climate equations and updated parameters values in a pedagogical way and to adopt peak and long-term temperature change metrics. dCCA recommendations are to plot ΔF and ΔT temporal profiles of product systems up to 600 years and use suggested metrics. This should enable going towards climate neutrality with more clarity, transparency and understanding.

Share
1 Introduction

Human activities have now clearly put the Earth system well beyond the safe operating space for humanity (Richardson et al., 2023). A systemic framework on the Earth system trends (Rockström et al., 2009; Steffen et al., 2015) is essential to capture levels of anthropogenic perturbation and develop a strategy in order to maintain stability and resilience of the Earth system as a whole. Global warming is one hidden cost of any human activity emitting greenhouse gases (GHGs). Recent changes are rapid, intensifying, and unprecedented over thousands of years (IPCC, 2021a).

The study of Earth's climate considers complex interactions between Atmosphere, Biosphere, Cryosphere, Hydrosphere and Lithosphere. The number of forcing mechanisms (e.g. GHGs, aerosols) is large (Szopa et al., 2021), as are uncertainties. State-of-the-art of Earth system models used in Model Intercomparison Projects (MIPs) attempt to describe all climate system's components as accurately as possible. From MIPS, simplified parametric models are developed. In each new assessment report, the Intergovernmental Panel on Climate Change (IPCC) updates climate parameters and metrics based on recent modelling as well as on changes in background conditions. Lastly, IPCC gathers updated characterisation factors (CF)* (* means see definition in Appendix A) and associated uncertainties for several metrics.

Global Warming Potential (GWP) has been widely used since the Kyoto Protocol thanks to its ease of calculation and simple definition, kilogram CO2-equivalent (kg CO2 eq.) at a 100-year time horizon (H) being now a common metric to assess carbon footprint of products and systems. GWP has also been largely criticised. (1) It does not explicitly represent the temperature response to a GHG emission (Shine et al., 2005), i.e. it is a poor indicator of peak warming (Allen et al., 2022; Fuglestvedt et al., 2018). (2) There is a nonlinear relationship between integrated radiative forcings of CO2 and of the studied gas (O'Neill, 2000). (3) It is statically expressed, H being a value judgement that has a decisive influence on the metric values (Myhre et al., 2013a) from both GHG emissions and temporary biogenic carbon storage (Levasseur et al., 2012). Global Temperature change Potential (GTP) is explicitly linked to temperature change (Shine et al., 2005), but remains relative to CO2 and is not dynamically used by the LCA community.

Due to the variety of emitted components' physical properties and of applications, LCA studies would benefit from moving away from single metric studies towards a multi-metric perspective and sensitivity tests, combined with a careful exchange with the end-users of LCA (Levasseur et al., 2016a). Extensive efforts have been done in that sense through the UNEP/SETAC Life Cycle Initiative (Levasseur et al., 2016b). Levasseur et al. (2016a) summarized all issues one has to have in mind before choosing a climate metric. They offered the same relevant recommendations for static LCA as Cherubini et al. (2016), i.e. the use of GWP20 for short-term and GTP100 for long-term perspectives in order to complete the usual GWP100 mid-term results. Yet, these CO2-equivalent metrics have a poor temporal correspondence with temperature responses for short-lived climate forcers* (SLCFs), i.e. are a poor indicator of temperature stabilisation (Allen et al., 2018). Other approaches, such as the dynamic Life Cycle Analysis (dLCA) developed by Levasseur et al. (2010), consist in accounting for the timing of GHG storage and emission on a year-by-year basis, and assess them using dynamic climate metrics*. As other impact categories than climate change are not considered here, dynamic climate change assessment (dCCA) will be used instead of dLCA throughout the rest of this paper. Hence, dCCA is based on a multi-pulse and multi-GHGs framework, as well as on absolute and dynamic climate impact assessment methods.

Limitations for a broader use of dCCA have been identified. First, the information on dynamic climate metrics provided in the latest IPCC report may be complex to use for those not trained in climate science. Second, such metrics have been ignored in recent LCA final recommendations (FAO, 2023; Jolliet et al., 2018; Levasseur et al., 2016b). More deeply, the way most climate metrics and CFs are designed, i.e. based on single gas emission at time zero (t0) or on aggregated emissions and removals into one CO2-equivalent pulse at t0, may not be suitable for dCCA applications. For instance, in assessments of long-lasting systems or materials containing biogenic carbon, multi-gas pulse emissions might happen several decades after t0. Pros and cons of addressed dynamic metrics are discussed here to support the interpretation of dynamic assessments with several emission pulses spread over time.

For that interdisciplinary research purpose, we found it useful to merge dynamic climate metrics, climate parameters and associated uncertainties, using updates from IPCC 6th Assessment Report (AR6). Special emphasis is given to two metrics: Absolute Global Warming Potential (AGWP) (or cumulative Radiative Forcing (ΔF)), an integrated metric, and Absolute Global Temperature change Potential (AGTP) (or Global Mean Temperature Change (ΔT)), an endpoint metric. According to AR6, carbon dioxide (CO2), methane (CH4) and nitrous oxide (N2O) are the three most important GHGs, responsible for 82 % of positive effective radiative forcing (ERF) since the beginning of the industrial revolution (Szopa et al., 2021). The present study thus focuses on them. Given the openness of the IPCC to revise emission metrics in future Assessment Reports (Abernethy and Jackson, 2022), the proposed framework could help in selecting more robust time-dependent emission metrics and new CF for product system assessments. To sum up, this article aims:

  • to give an overview of what underpins climate metrics and associated uncertainties using AR6;

  • to offer AGWP and AGTP for CO2, CH4 and N2O to environmental assessment communities;

  • to discuss to what extent absolute and dynamic metrics – ΔF, ΔT – better reflect product system mitigation objectives;

  • to suggest clearer data presentation and new CFs in future IPCC reports that better suit single- and multi-time emission profiles for both short- and long-lived well-mixed GHGs;

  • to make available an open-source dynamic climate change assessment tool that includes climate-carbon feedbacks.

2 Methodology

2.1 Climate change metrics – background information

Emission metrics aim to provide an “exchange rate” in multi-component policies or in areas such as LCA (Aamaas et al., 2013; Myhre et al., 2013a). Among other attempts (Edwards and Trancik, 2022; Kandlikar, 1996), Eq. (1) gives a general formulation of an absolute emission metric (AM) (Forster et al., 2007). This proposal is suited to a wide range of metrics, but not all, e.g. cost-effective metrics (Tanaka et al., 2021).

(1) AM i = 0 ( I ( Δ C r + i ( t ) ) - I ( Δ C r ( t ) ) ) g ( t ) d t ,

where ICr(t)) is the function describing the “impact” of a change in climate ΔC (e.g., concentration, temperature) at time t, with a discount function, g(t), and compared to a reference system, r, on which the perturbation i occurs. In emission metrics, g(t) is mostly a step-function to represent a fixed time-horizon in integrated metrics, or a Dirac delta function that removes the integral of Eq. (1) to represent an instantaneous evaluation in endpoint metrics (Peters et al., 2011b). We can notice that the latter have nothing to do with LCA endpoint modelling (Bare et al., 2000): an endpoint climate metric is a midpoint LCA indicator. To get a common scale, metrics can be given in relative terms by normalising to a reference gas: Mi=AMi/AMj. For instance, GWP and GTP are defined by normalising respectively AGWP or AGTP from a pulse emission of a specific GHG to respectively AGWP or AGTP of 1 kg of CO2. All metrics require input parameters (Hodnebrog et al., 2013) influenced over time by changing background information (see Sect. S1 in the Supplement).

Integrated or sustained temperature change metrics (iAGTP, iGTP, SAGTP, SGTP) that reflect for instance sea-level rise (Sterner et al., 2014) are not considered here since they have similar behaviours as integrated radiative forcing metrics (AGWP, ΔF, GWP), at least for long-lived climate forcers (Azar and Johansson, 2012; Collins et al., 2020; Levasseur et al., 2016a). Recently developed step/pulse metrics have been proposed to better include SLCFs (Dhakal et al., 2022, Cross-chapter box 2) such as GWP* (Allen et al., 2018; Cain et al., 2019) that is based on a minimalistic dynamic model, or CGTP (Collins et al., 2020) that is a relative metric comparing a step change in SLCF emissions with a pulse emission of CO2. All these metrics are suited for yearly monitored emissions, e.g. at country level. As sustained emissions are barely encountered in LCA of products, these metrics are left out of the present study to focus on absolute metrics based on pulse emissions.

2.2 Absolute and dynamic metrics

GHGs effective radiative forcing (ERF)* quantifies the energy gained by the Earth system following an imposed perturbation (Forster et al., 2021). The absolute global warming potential (AGWP) is the integrated ERF. Following Eq. (2), it describes the change in heat flux density caused by a pulse emission, i.e. a Dirac delta function, of a unit mass of gas at t0. The AGWP framework can be extended to multi-pulse cumulative ERF calculations, ΔF, since product systems can be viewed as a series of pulse emissions and analysed through convolution (Eq. 3, Aamaas et al., 2013):

(2)AGWPiH=0HERFi(t)dt=Ai0HIRFi(t)dt,(3)ΔFiH=Ai0HgitIRFiH-tdt,

where H is the time horizon, i the studied gas, Ai is the radiative efficiency scaling factor in W m−2 kg−1, gi the temporal emission profile in kg, and IRFi is the impulse response function*.

According to simplified radiative forcing expressions of Etminan et al. (2016), RE of CO2, CH4 and N2O depend on CO2, CH4 and N2O background concentrations. The same applies for IRFi. Decreasing RECO2 with increasing CO2 concentration is partially offset by an increase in climate-carbon cycle feedback (Reisinger et al., 2011) and by CO2 sink saturation, mainly related to ocean (Raupach et al., 2014). Though, due to current rapid changes in background GHGs concentration and indirect chemical effects complexity, constant RE and IRFi over time might be sources of uncertainty for mid- and long-term dCCA. Constant RE and IRFi must at least be updated with each new IPCC assessment report. Following the AR6, RE and IRFnon-CO2 values are fixed with 2019-background concentrations (410 ppm CO2, 1866 ppb CH4 and 332 ppb N2O). IRFCO2 is still calculated with 2010-background concentration of 389 ppm CO2 (IPCC, 2021b; Joos et al., 2013), also similar to AR6. By contrast, 422 ppm CO2 was measured on average in September 2024 (NOAA, 2024).

Further down the cause-effect chain of climate change, an additional radiative forcing implies a temperature change. Absolute Global Temperature change Potential (AGTP) is an endpoint metric. It is a well-established method that includes an energy balance climate model (Shine et al., 2005) to compute temperature change after a pulse emission (see Eq. 4) (Boucher and Reddy, 2008; Fuglestvedt et al., 2010). Applying AGTP with the extended ΔF framework defined in Eq. (3) enables to estimate the global-mean temperature change, ΔT, to assess multi-pulse scenarios (see Eq. 5). If the emission profile gi(t) is a Heaviside step function, one can note that pulse and sustained metrics become mathematically equivalent.

(4)AGTPiH=Ai0HIRFitIRFTH-tdt,(5)ΔTiH=0HΔFitIRFTH-tdt,(6)IRFTt=ECSj=1Jcjdje-tdj

where IRFT(t) is the temporally displaced temperature response function of the Earth system. The use of a two-layer energy balance emulator (Geoffroy et al., 2013) enables to simply reproduce the behaviour of a coupled atmosphere–ocean general circulation model. In this simple idealised framework, the heat-uptake temperature is a sum of two contributions (i.e. J=2 in Eq. 6): one quick mode representing the planetary surface's response to changes in forcing, and one mode with a much longer relaxation time that takes the large deep ocean inertia into account (Geoffroy et al., 2013).

AGTP is computed with IRFT derived from a constrained ensemble from two emulators: FaIRv1.6.2 and MAGICC7.5.1, both in their AR6 calibration setups. Fast and slow response relaxation times are calculated to match the best-guess assessment of a 3.0 °C equilibrium global surface air temperature response to a doubling of atmospheric CO2 above its pre-industrial concentration (Smith et al., 2021). ECS, cj and dj mean values are given in Table 2.

Analytical resolution of AGWP and AGTP are shown in Sect. S2. Compared to AGWP, AGTP increases both the uncertainty and the policy relevance (Levasseur et al., 2016a; Myhre et al., 2013a; Peters et al., 2011a), as it requires an extra step for the climate response but directly gives easy-to-understand temperature changes.

2.3 Studied long-lived GHGs features

This study considers some long-lived climate forcers (LLCFs), GHGs whose lifetimes are greater than the time scales for inter-hemispheric mixing (1–2 years) (Szopa et al., 2021). As LLCFs have relatively homogeneous spatial influence in the troposphere, they are considered well mixed, i.e. local emissions impacts can be globally accounted for.

To evaluate the total effect of a GHG, one needs to know its lifetime, its RE and its chemical interaction with other molecules. Components of complex models such as chemical adjustments* have to be accounted for in emissions-based ERF to provide transparency on climate metrics (Szopa et al., 2021).

2.3.1 Carbon dioxide

As the atmospheric CO2 concentration is governed by a diversity of physical and biogeochemical processes (Joos et al., 2013), IRFCO2 is usually approximated by a sum of exponentials (see Eq. 7). Joos et al. (2013) is still the latest multi-model quantification of the response of oceanic and terrestrial carbon sinks to an instantaneous pulse of CO2 emission (Forster et al., 2021). Coefficients to fit their multi-model mean responses to a pulse emission of 100 Gt C are used (see Table 2). These coefficients cannot be used to assess impacts on time horizons longer than 1000 years:

(7) IRF CO 2 t = α 0 + k = 1 K α k e - t τ k ,  for  0 < t < 1000 ,

where αk represent a CO2 fraction associated to a nominal timescale τk, with K=3, and α0 is the fraction of emissions that remains permanently in the atmosphere according to this multi-model fit.

2.3.2 Climate-carbon feedbacks

A carbon cycle response happens after the emission of CO2 and non-CO2 GHGs: a GHG emission warms the climate, which in turn reduces the carbon sinks uptake efficiency. According to Gasser et al. (2017), Climate–Carbon feedbacks (CCf) are for instance the effect of temperature and precipitation change on net primary productivity and heterotrophic respiration of land ecosystems, or changes in the surface ocean's chemistry. IRFCO2 from Joos et al. (2013) includes CCf. AR5's attempt to include CCf for non-CO2 species (Myhre et al., 2013a) was inconsistent (Gasser et al., 2017). AR6 restored consistency by adding CCf to all GHGs after the framework developed by Gasser et al. (2017). Equation (8) indicates the increase in absolute climate metrics ΔAGxxi of a gas i due to CCf (Smith et al., 2021) :

(8) Δ AG x x i = γ t = 0 H AGTP i H - t t = 0 t AG x x CO 2 t r F t - t d t d t ,

with rFt=δt-i=13βiκie-tκi and γrF(t) the CO2 flux perturbation following a unit temperature pulse in kg CO2 yr−1 K−1. rF parameter values are indicated in Sect. S3 and an encoded CCf analytical solution is available (see Code availability).

2.3.3 Methane

Oxidation by tropospheric hydroxyl (OH) radical is the major sink of methane followed by other chemical losses – stratospheric and tropospheric halogen losses – and soil uptake (Boucher et al., 2009; Lelieveld et al., 1998; Stevenson et al., 2020). All these sinks lead to a total CH4 atmospheric lifetime, τatm,CH4, of 9.1 years (Szopa et al., 2021). Methane atmospheric lifetime is shorter than its perturbation lifetime τCH4 since an increase in CH4 emissions decreases tropospheric OH, which in turn enhances its own lifetime and therefore the methane burden (Szopa et al., 2021). Hence a CH4-OH feedback factor, f, is applied: τCH4=τatm,CH4f (see Sect. S2). IRFCH4 is then described with K=1 and α0=0 (see Eq. 7).

Methane has a direct radiative effect through absorption of both shortwave and longwave radiation and indirect effects due to its reactivity. CH4 emissions cause tropospheric ozone production as well as stratospheric water vapour increase (Szopa et al., 2021). Hence a positive chemical adjustment is attributed to methane and considerably increases the direct effect of CH4 by a factor of 1.463 (see Sect. S2). As in Myhre et al. (2013b), methane influence on aerosols is not included here since these effects have not been confidently quantified to date (Forster et al., 2021). This might change in the future if findings on aerosol-cloud-interaction radiative forcing of O'Connor et al. (2022) are confirmed by future works.

Lastly, oxidation of methane from fossil sources leads to additional fossil CO2 (Forster et al., 2021). Not all CH4 oxidises since other sinks as OH radical exist. With a yield of 75 %, 1 kg of fossil methane yields the emission of 2.1 kg CO2, and 1 kg of anthropogenic biogenic methane yields to a sink of 0.33 kg atmospheric CO2 (Boucher et al., 2009; Forster et al., 2021). However, dCCA enables accounting for CO2 uptake, e.g. put extra negative values to dynamically account for biomass growth or mineral carbonation. Hence, we treat all carbon as equal, namely use fossil methane (Muñoz and Schmidt, 2016), and do not use the biogenic correction to avoid double counting. Equation (9) with no chemical distinction between released carbon from biogenic and fossil sources is then used. One can see that CO2 is emitted slowly as methane decays, i.e. there is a convolution between IRFCH4 and AGxxCO2 or ΔXCO2. The analytical resolution of the convolution is in Sect. S4. All these chemical effects significantly impact the radiative forcing of CH4 (Szopa et al., 2021, Fig. 6.12), inducing adapted AGxx formulas.

(9) AGWP CH 4 , fossil H = 1 + f 1 + f 2 A CH 4 τ CH 4 1 - e - H τ CH 4 + Y M CO 2 M CH 4 1 τ CH 4 OH 0 H e - H - t τ CH 4 OH AGWP CO 2 ( t ) d t + Δ AGWP CH 4 ( H ) ,

where f1 and f2 are respectively the ozone and the stratospheric water vapour indirect effects, A is the radiative efficiency scaling factor without indirect effects with (1+f1+f2)ACH4=ACH4, Y is the reaction yield from CH4 to CO2 molecules, Mi the molar mass of a gas i, τCH4OH the chemical lifetime of methane and ΔAGWPCH4 is the climate–carbon feedback. AGTPCH4, ΔFCH4 and ΔTCH4 are affected the same way. All mentioned climate parameters values are in Table 1 or in Sect. S3.

2.3.4 Nitrous oxide

Anthropogenic emissions of N2O are driven primarily by fertiliser use and the handling of animal waste (Prather et al., 2015). Nitrous oxides loss mainly occurs through photolysis and oxidation by O(1D) radicals in the stratosphere, the critical region for N2O loss being the tropical middle stratosphere (Canadell et al., 2021; Prather et al., 2015). The rates of reactions are defined by O3 and temperature stratospheric vertical profile (Prather et al., 2015). The mean atmospheric lifetime of N2O is 116±9 years. A small negative lifetime sensitivity of N2O to its own burden leads to an effective residence time perturbation of 109±10 years (Canadell et al., 2021). IRFN2O is modelled with K=1 and α0=0 (see Eq. 7). The indirect contributions of nitrogen oxides (NO and NO2) push the OH/HO2 ratio in the other direction than methane through the reaction NO + HO2 NO2+OH, inducing a negative effect on CH4 lifetime (Stevenson et al., 2020). A positive effect is due to stratospheric ozone depletion (Forster et al., 2021; Szopa et al., 2021). They are relatively minor since they nearly compensate each other. AN2O is thus scaled with updated value from Forster et al. (2021) so that the AGWP formulae of Eq. (10) evolves from Myhre et al. (2013b):

(10) AGWP N 2 O H = A N 2 O 1 - 1.7 × 1 + f 1 + f 2 RE CH 4 RE N 2 O + RE N 2 O 03 C f × τ N 2 O 1 - e - H τ N 2 O + Δ AGWP N 2 O H = A N 2 O × τ N 2 O 1 - e - H τ N 2 O + Δ AGWP N 2 O H

where AN2O and AN2O are radiative efficiency scaling factors in W m−2 kg−1 respectively without and with indirect effects, REN2OO3 the radiative efficiency through ozone in W m−2 ppb−1 and Cf the conversion factor to convert RE from per ppb(N2O) to per kg N2O. AGTPN2O, ΔFN2O and ΔTN2O are affected the same way.

Table 1Climate parameters and associated uncertainties used for simple emission metrics and uncertainty beam calculation.

Download Print Version | Download XLSX

3 Sensitivity analysis

In LCAs, climate change CF are often used without related uncertainties, e.g. 1 kg CH4=29.8 kg CO2 eq. Nevertheless, common relative metrics of CH4 and N2O show wide uncertainty ranges: 32 %–49 % for GWP and 46 %–83 % for GTP (Smith et al., 2021). Olivié and Peters (2013) highlighted that variations in IRFCO2 and IRFT have a considerable impact on common emission metrics, even in linear systems, i.e. for small perturbations. IRFCO2α and τ parameters of Eq. (7) are related to phenomenological modelling, and hence have no physical meaning. They are fitting parameters of a mean that comes from a multi-model analysis. To characterise the IRFCO2 uncertainty, we randomly use one model's fit coefficients among the 13 ensemble members of Joos et al. (2013) (see Sect. S5). In this straightforward and tractable way, we ensure that the constraint α0=1-α1-α2-α3 is respected in the probabilistic analysis, but we can't give α and τ specific uncertainty values. Addition of other parameters uncertainties enable us to plot a proper uncertainty range. As done in the AR6, IRFTc and d parameters of Eq. (7) are derived from a constrained ensemble from FaIRv1.6.2 and MAGICC7.5.1, whereas c and d variations are computed from MAGICC7.5.1 ensemble members only (see Sect. S6).

Table 2 presents added uncertainties linked to radiative efficiency scaling factors, lifetime perturbations and CH4 oxidation yield and ECS from Forster et al. (2021). AR6 mostly considers normal uncertainty distribution with [5–95] % confidence range. Monte Carlo simulations (5000 runs for AGWP; 10 000 runs for AGTP) are performed to get stable uncertainty ranges. Uncertainties on CCf – γ and on rF(t) parameters – are not considered here.

4 Results

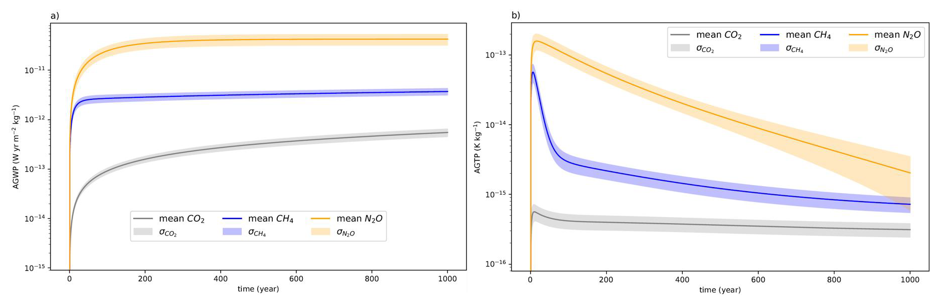
We first compare in Fig. 1 the dynamic climate change impact of 1 kg emission of CO2, of CH4 and of N2O. Metric profiles represent responses from present-day (H=0 year) to the maximum possible long-term time horizon (Hmax=1000 years if multi-model mean IRFCO2 from Joos et al., 2013, is used). AGWP grows up to an asymptotic value, i.e. when GHGs are no longer in the atmosphere. This asymptote comes from AGWP mathematical construct and might lead to bias in long-term interpretations. Differences in orders of magnitude between CO2, CH4 and N2O's GWP100 are well reflected with dynamic AGWP profiles. As for AGTP, it shows a peak temperature change (AGTPpeak) shortly after emission because of the quick planetary surface response. AGTPpeak is reached at 10, 6 and 15 years for CO2, CH4 and N2O respectively, which fits and extends Ricke and Caldeira (2014)'s observation. Then, a more or less decreasing AGTP is due to deep ocean thermal inertia. Temperature change caused by a CO2 emission decreases very slowly at long-term H, i.e. CO2 has a significant long-term impact. Methane causes a notable short-term climate change contribution. It has also a long-term impact from its oxidation into CO2 emissions: AGWPCH4 keeps slightly increasing over centuries and AGTPCH4 does not sharply decrease at long-term perspective. N2O behaviour is in-between: GTPN2O value begins to decrease with H≈30 years. AGTP temporal emission profiles reflect much more nuances than the use of static GTP values of CO2, CH4 and N2O. Table 3 shows CF of both metrics with their associated uncertainties at H routinely reported by IPCC, plus at AGTPpeak. Slight differences observed with IPCC values, especially in long-term H, should come from CCf computation: here CCf is analytically resolved whereas numerically resolved by IPCC.

https://esd.copernicus.org/articles/16/2003/2025/esd-16-2003-2025-f01

Figure 1(a) AGWP and (b) AGTP profiles in logarithmic scale from present-day (H=0 year) to very long-term perspective (H=1000 years) after emissions of 1 kg CO2, 1 kg CH4 and 1 kg N2O. Uncertainty ranges are computed by varying all parameters listed in Table 1.

Download

Table 2Characterisation factors of AGWP and AGTP emissions metrics for selected species and time horizons. Uncertainties are calculated with  standard deviation σ. u % represents the ratio between σ and mean value.

Download Print Version | Download XLSX

The key aim of metrics is the quantification of the marginal impact of pulse emissions of extra GHG units (Kirschbaum, 2014). Figure 2 compares three pulse emissions being equivalent in terms of GWP100: (1) an emission of 100 kg of CO2; (2) 100/GWP100_CH4=3.36 kg of CH4 emitted; (3) a mixed_GHGs pulse reflecting 2022 global emissions proportion of major GHGs – 99 % CO2, 0,97 % CH4, 0,03 % N2O – (adapted from EDGAR; Crippa et al., 2023).

Both AGWP and AGTP show that the conversion from CH4 to CO2-equivalent emissions underestimates short-terms impacts and overestimates long-term impacts (Allen et al., 2016). Nevertheless, the notion of CO2-equivalent in cases of pulse emission at t0 makes sense regarding global emissions proportion, especially for mid- and long-term H. Figure 3 shows that CH4 contribution on temperature change caused by a 1-year emission pulse from all anthropogenic activities is almost equal to CO2 in the short-term, with a 51:46 CO2: CH4 percentage contribution at H=10 years. After some decades, temperature change is almost only driven by CO2 and hence flattens. This is in line with Allen et al. (2022) who support separating SLCFs and LLCFs' contributions in emission targets, especially under short-term perspective. Respectively for CO2, CH4 and mixed_GHGs scenarios, we compute −19 %, −68 % and −24 % between AGTP200 and AGTP1000, which is little compared to the drop of −40 %, −2275 % and −163 % between AGTPpeak and AGTP200. In a single-pulse framework, AGTP500 appears to be a representative mean value of this observed temperature change flattening on a long-term perspective. Mean values of these two metrics are presented in Table 4.

https://esd.copernicus.org/articles/16/2003/2025/esd-16-2003-2025-f02

Figure 2(a) AGWP and (b) AGTP profiles for three pulse emissions having the same GWP100=100 kg CO2 eq.

Download

https://esd.copernicus.org/articles/16/2003/2025/esd-16-2003-2025-f03

Figure 3Evolution over time of the relative contribution of CO2, CH4 and N2O to AGTP of “mean_mixed_GHGs” reflecting 2022 global emission (mass ratio: 99 % CO2–0,97 % CH4–0,03 % N2O).

Download

Table 3Mean AGTPpeak and AGTP500 associated with the three temporal emission profiles of Fig. 2b).

Download Print Version | Download XLSX

Lastly, we address dynamic climate metrics in multi-gas and multi-pulse cases, i.e. what is mostly encountered by assessment communities. This approach is especially interesting to assess long-lasting systems as well as bio-based products that store biogenic carbon while not degraded. To illustrate the potential benefits of using ΔF and ΔT in such cases, Fig. 4 reflects impacts of two insulating materials with a 50-year lifespan. Expanded polystyrene is fossil-based and straw bale is bio-based. At the production stage Polystyrene is more energy intensive while Straw bale sequesters much more CO2 than it emits GHGs. At end-of-life (EoL) stage Polystyrene is landfilled and emits very little. Straw bale is composted or mulched and releases a large amount of initially captured CO2 along with CH4 and N2O. Inventories can be found in Sect. S7. In a multi-pulse framework, peak temperature change of product systems might occur decades (see Fig. 4), or even centuries after t0, which significantly shifts the time when temperature change becomes rather stable in a long-term perspective. Hence, instead of ΔT500, we propose the metric ΔTlong-term being 500 years after ΔTpeak in order to stay representative of the long-term temperature change flattening.

https://esd.copernicus.org/articles/16/2003/2025/esd-16-2003-2025-f04

Figure 4(a) Emission profile of 1 m2 of thermal insulators - Polystyrene and Straw bale – having a thermal resistance of 7 m2 K W−1 during 50 years. CO2, CH4 and N2O are emitted (see inventories in Sect. S7). (b) ΔF and (c) ΔT temporal profiles of these two products over 575 years. Dotted grey lines represent H given by IPCC leading to ΔF20, ΔF100, ΔF500 (b); ΔT50, ΔT100 (c).

Download

https://esd.copernicus.org/articles/16/2003/2025/esd-16-2003-2025-f05

Figure 5Relative climate change results for Polystyrene and Straw bale according to common relative metrics – GWP20, GWP100, GWP500, GTP50, GTP100 – and suggested metrics in this article: ΔF20, ΔF100, ΔF500, ΔTnegative, ΔTpeak, ΔTlong-term. Absolute values are presented in Sect. S8. Pulse emissions occurring outside the timeline [t0, H] are not considered.

Download

Five main observations can be made: (1) Energy intensive materials contribute to global warming from t0. (2) Both dynamic metrics show that temporary carbon storage of bio-based products induces a significant effect in mitigating climate change, at least up to EoL. One can observe a drop in temperature change with a negative minimum, ΔTnegative, at H=17 years. Interestingly, negative impacts from temporal carbon storage of bio-based materials last longer with ΔF than with ΔT. (3) ΔTpeak of Straw bale occurs at H=66 years, i.e. much later than the peak temperature change timing implied by a pulse emission at t0. Peak timing as a point of reference for the long-term CF appears relevant. (4) Even if ΔTpeak of Polystyrene and Straw bale are similar, Straw bale end up with a slightly negative ΔTlong-term, i.e. is the only one fitting with the goal of climate neutrality. (5) Recommended dynamic metrics by IPCC give representative values for short-, mid-, and long-term perspective with ΔF but not for ΔT:

  • ΔT50 fails to capture the most important temperature change contributions of Polystyrene. Moreover, it gives a negative value for Straw bale, but in a 45-year-lifespan scenario, the result would be the opposite, making the EoL occurrence too sensitive to the H choice.

  • unlike suggested by UNEP/SETAC recommendations, temperature change at 100 years is not representative of a long-term impact: ΔT100 of Polystyrene and Straw bale are almost equal whereas Fig. 4c and ΔTlong-term depict a big difference on a longer-term perspective. Indeed, at H=100 years, Straw bale still emits GHGs.

Figure 5 clearly highlights the added value of the dCCA approach: all common relative metrics show positive and rather similar relative impacts between both products. As for recommended dynamic metrics, conclusions vary according to the chosen CF, which might lead to different climate policies, especially about negative and positive impacts of bio-based systems.

5 Discussion

5.1 Towards more clarity on absolute and dynamic climate metrics

Based on Forster et al. (2021) and Smith et al. (2021), this paper summarises main climate metric equations with no hidden parameter values: fast and slow response relaxation time values, as well as ECS value are explicitly given, as are their associated uncertainties; CH4 and N2O indirect effects are explicitly transcribed into metrics equations; CCf analytical solution is calculated and proposed in an open-access code page. Preparation of the seventh Assessment Report of the IPCC (AR7) will begin soon. Each new report is an opportunity to recall climate metric common equations as well as to write down updates in specific gas species metric equations and climate parameters values in a pedagogical manner. The work done in Sect. 2.3, notably inspired by Aamaas et al. (2013) and by what Myhre et al. (2013b) did for CH4 and N2O equations may be supporting materials for this purpose. This would help environmental assessment communities with less expertise and in-depth knowledge of climate models to acquire better comprehension of what underlies absolute metrics and adopt dCCA. Indeed, as mentioned above, dynamic climate metrics are scientifically more accurate and LCA practitioners should use them while assessing bio-based or long-lasting products (lifespan >5–10 years) (RDC Environnement, 2024).

5.2 Dynamic climate metrics interpretation

5.2.1 Emission pulses only at t0

AGWP and AGTP can be compared through Figs. 1 and 2. As these two climate metrics are mathematically different and display different shape types, they are complementary. Radiative forcing metrics are now considered robust and useful (Fuglestvedt et al., 2003). As a time-integrated metric, AGWP temporal profiles keep increasing over centuries when CO2 is emitted. Contributions of LLCFs stock pollution as well as the effect of CO2 temporal storage (Zieger et al., 2020) are clearly displayed. Contributions of short-lived well-mixed GHGs are displayed for short H (≤20 years). As AGWP is an integrated metric that does not fluctuate widely, 20-, 100- and 500-year H values appear well suited to get short-, mid- and long-term CFs, although there is no fundamental reason behind these values, and – ignoring common practice – others could be chosen. In agreement with Levasseur et al. (2016a), no hierarchy between H are needed at first sight, H choices being preferably based on where LCA practitioners or climate policies want to put emphasis. Nevertheless, GWP's H can be linked to the discount rate used to evaluate economic damages from each emission (Dhakal et al., 2022). In a cost-benefit framework, internally consistent LCA should therefore prioritise the time horizon that is closest to the discount rate that users of the LCA might then apply. Lastly, AGWP only requires atmospheric response models, needs climate models just when CCf is included, and then embeds less uncertainty than AGTP. Drawbacks of using AGWP are rather linked to the unit – W yr m−2. First, it is not clear for policymakers. Second, calculations are not explicitly linked to ultimate climate-change impacts but to energy imbalance and may not match the expected global surface temperature (Forster et al., 2021; Kirschbaum, 2014).

AGTP is an interesting alternative metric since it directly reflects temperature change. AGTP temporal profiles of all studied gas show a peak temperature because of the rapid planetary surface response. AGTP at mid- and long-term corresponds to the thermal inertia of the deep ocean that maintains the memory of the initial pulse (Shine et al., 2005). Showing these impacts over time is much more refined than giving usual GTP values at 50- and 100-year H. Table 3 shows that the difference between AGTP50 and AGTP100 is low and not representative of the difference between AGTPpeak and AGTP500. Such an absolute metric is not frequently used in LCA. Yet, it offers significant advantages. (1) AGTP is able to depict on a same graph emission profiles of both SLCF and LLCF, at least from black carbon (τ= a few days) to SF6 (τ=1000 years), even on a 1-year time resolution (Sterner et al., 2014; Lund et al., 2020). (2) Endpoint metrics are most closely aligned with the Paris Agreement and the notion of time of maximum temperature rise (Collins et al., 2020). (3) AGTP is in Kelvin or Celsius degree, a common unit. (4) AGTPpeak is a curve characteristic that varies with the type of gas and is insensitive to the inadvertent H consensus (Shine, 2009). Picking the peak temperature change is also a form of value judgment. Yet, as the global mean temperature is getting closer and closer to a 2 °C peak warming target, knowing when peak temperature occurs relative to t0 makes this CF particularly relevant. In a systemic approach such as a sustained technological change, dynamic temperature responses would allow identifying the real optimum in terms of temperature increase and its timing. (5) Figure 2 highlights that most human activities emit CO2, which implies that most product systems have a characteristic almost asymptotic long-term temperature change impact.

5.2.2 Emission pulses at different timings

Temporally displaced emissions profiles raise an issue about climate change metrics: is the way CFs are designed suited for assessment purposes? Characteristic dCCA inventories with multi-time and multi-gas emission pulses, as shown in Fig. 4, impose thinking differently from using the single gas emission pulse assumed by traditional metrics.

Multi-time and -gas emissions also put emphasis on the benefits of using ΔF and ΔT for LCA practitioners. To carry out a dCCA, we first propose to get temporal profiles from 0 to 600 years. This gives a visual and detailed comparison between product systems. ΔF interpretation is similar to AGWP, i.e. assessments at 20, 100 and 500 years (i.e. short-, mid- and long-term) well accompany the temporal representation. Besides, relative ΔF of Eq. (13) computed thanks to dynamic climate change assessment tools (Levasseur et al., 2010; Tiruta-Barna, 2021) might be a way to obtain temporal carbon footprint profiles with a common unit. Here, n is the number of assessed GHGs and i an assessed GHG.

(11) Δ F relative ( H ) = n Δ F i ( H ) AGWP 1 kg , CO 2 ( H ) ,

In a multi-pulse framework, unlike with pulse emission at t0, ΔTpeak might appear decades after t0. In this case, peak timing is a required extra information. Hence, this metric that indicated both peak magnitude and timing occurrence appears even more pertinent. Moreover, when CO2 is a part of emitted GHGs, which is almost always the case when assessing products and sectors, ΔTlong-term is a second relevant metric. ΔTpeak can be interpreted as a flow climate change contribution caused by the rapid temperature response of the Earth after emissions of both SLCFs and LLCFs. It connects well the product system's impact to the global goal of the Paris Agreement to limit the instantaneous peak temperature due in part to the significance of instantaneous elevated temperature in causing heat waves and extreme events (Abernethy and Jackson, 2022). ΔTlong-term is representative of a stock climate change contribution of a product system, clearly showing that today's emissions will induce a rather stable long-term warming. This recalls that mitigation still leads to global warming, and only “reaching and sustaining net zero global anthropogenic CO2 emissions and declining net non-CO2 radiative forcing would halt anthropogenic global warming on multi-decadal timescales” (IPCC, 2018), but not reduce it.

These are key features to design transparent absolute and dynamic temperature change CFs. AR6 expresses AGTP and GTP's CF at 50- and 100-year H. For product systems assessment purposes, IPCC is invited to replace AGTP50 and GTP50 values by AGTPpeak and GTPpeak values in the coming AR7. IPCC could also adopt a long-term temperature change perspective, e.g. AGTP500 or 500 years after AGTPpeak occurs, in addition to the common 100-year H. Further research is needed to see the relevance of such metrics to evaluate yearly emissions at a sectoral, national or global level. Lastly, LCA practitioners are encouraged to go beyond CF by implementing a graphical representation that depicts climate impacts on a yearly-basis over centuries. This would enable them to lessen value judgements in assessments.

5.3 Uncertainty issues

CO2 data are less uncertain than N2O and CH4 ones due to low CO2 radiative forcing scaling factor uncertainty that offset its more uncertain IRF. N2O has the highest radiative forcing scaling factor uncertainty. About temperature change metrics, the equilibrium climate sensitivity is known as one of the most uncertain features of the climate system and causes much of the uncertainty in projections of future global warming (Forster et al., 2021; Shine et al., 2005). Indeed, AR6 concludes that there is a 90 % or more chance (very likely) that the ECS is between 2 and 5 °C (Forster et al., 2021). Hence, AGTP's relative uncertainties are about two times higher than AGWP ones (see Table 3). Nevertheless, as ECS explicitly represents a long-term global warming in Celsius degree from doubling CO2 from pre-industrial level, it also contributes to AGTP and ΔT policy relevance. Moreover, the uncertain response time of the climate system depicted by temperature change metrics is a real feature which is not captured by radiative forcing metrics.

As future warming scenarios are not considered, i.e. GHG concentrations are static, uncertainties are even bigger as computed here. How far the potential advantage of AGTPlong-term to achieve long-term climate targets compared to the disadvantage of being subject to considerably larger uncertainties (Reisinger et al., 2010) is still open to conjecture.

6 Conclusion

While we are becoming more and more aware of the Earth's climate system's complex functioning, it is critical to keep clear and understandable climate metrics for the LCA community. It might indeed be difficult to make connections between the complexity of climate models and successive recommendations as and when IPCC reports are presented. As preparation for the next IPCC assessment will begin soon, this paper highlights the importance to clearly recall dynamic equations that underlie climate metrics and to properly gather updated climate parameter values with associated uncertainties. The overview of up-to-date climate data has been presented here with this pedagogical purpose in order to help environmental assessment communities adopt consistent dynamic climate metrics.

Absolute and dynamic metrics enable us to properly represent specific behaviours of different climate forcers over time. There is a growing interest in using them to take the analysis one step further than with CO2-relative and static metrics (GWP, GTP). But while climate metrics are designed with single gas pulses emitted at time zero, LCA modelling of products and systems generally leads to multi-pulse with multi-gas emission profiles. Hence, usually recommended and used CFs might not be suitable for dCCA. To investigate that, we have compared main dynamic metrics: AGWP and AGTP for one-pulse emissions, and their multi-pulse emissions equivalent, ΔF and ΔT. Cumulative radiative forcing and temperature change metrics appear to be complementary. Radiative forcing metrics are quite simple to compute and give less uncertain results. With impacts that keep growing with time, they display in a more pronounced manner the impact of very long-lasting CO2 and temporary carbon storage. Global temperature change endpoint metrics are more complex and uncertain, but meet both scientific completeness and pragmatic policy choice. First, they represent climate impacts in the common Celsius degree unit, that more strongly resonate with the global target of halting and maintaining global warming below 2 °C above the preindustrial level. Second, the graphical representation captures well the nature of both LLCFs and SLCFs, i.e. integrates both a short-term perspective with associated target overshoot concerns and temperature change that will remain for centuries. Lastly, CFs proposed here (ΔTpeak, ΔTlong-term) are an attempt to get rid of the time horizon issue that has plagued the LCA community for so long.

Assessments using CO2-equivalent climate impacts give sufficiently reliable results to go towards mitigation. Nevertheless, to achieve ambitious objectives such as climate neutral product systems, this work showed that climate policy should gain in consistency by adopting temporal metric profiles and selecting some specific values in addition or in substitution to relative metrics. Hence, environmental assessors are invited to display dynamic assessment results up to 600 years after t0 and to adopt ΔF20, ΔF100, ΔF500, ΔTnegative, ΔTpeak, ΔTlong-term as new climate change CFs. These metrics particularly aim to reflect whether or not climate neutrality of product systems is achieved, either at short-, mid- or long-term perspectives according to the policy objectives for which the chosen metrics are applied. IPCC could support this by adopting AGTPpeak and AGTP500 (or directly AGTPlong-term), especially if their relevance to evaluate climate policies at national and global scales are confirmed by future research works.

Appendix A: Glossary

Characterisation factor (CF). Produced by modelling consequences of withdrawals and discharges on ecosystems, human health or on resources, a characterisation factor provides the contribution of an elementary flow to an impact category. For climate metrics, a CF converts the impact of 1 kg of a GHG emission or uptake into a defined unit and time horizon.

Chemical adjustments. The perturbation of a single emitted compound is not limited to its direct radiative forcing, but can induce subsequent chemical reactions and affect the abundances of other climate forcers. As an example, CH4 emissions cause tropospheric ozone production as well as stratospheric water vapour increase.

Dynamic climate metrics. Absolute metrics used in a temporal dynamic approach that considers a multi-pulse framework with storages and emissions timing. First attempts on dynamic climate change assessment calculated the benefits implied by a delayed emission, but still with a fixed time horizon (Fearnside, 2000). Levasseur and her co-workers (2010) extended the approach by calculating absolute and relative radiative forcing metrics on a yearly basis over several hundreds of years. Here, relative metrics are not included in this terminology. This paper addresses in particular two dynamic climate metrics: cumulative radiative forcing (ΔF) and global mean temperature change (ΔT).

Effective radiative forcing (ERF). ERF is employed as the central definition of radiative forcing in AR6. It quantifies change in net downward radiative flux at the top-of-atmosphere following adjustments in both tropospheric and stratospheric temperatures, water vapour, clouds, and some surface properties (Forster et al., 2021). Hence, AR6 includes tropospheric rapid adjustments (+5 % for CO2, −14 % for CH4 and +7 % for N2O) to the stratospheric-temperature-adjusted radiative forcing equations of Meinshausen et al. (2020) to get ERF and RE values (Smith et al., 2021).

Impulse response function (IRF). Describes the atmospheric decay of an emitted species. Its general formulation follows one or several exponential decay functions (Joos et al., 2013), e-tτi, where τi is the e-folding time representing the perturbation lifetime of a gas i

Radiative efficiency (RE). Equals the ERF for a change in the atmospheric abundance. It is converted from W m−2 ppb−1 to W m−2 kg−1 by multiplying with (MA/Mi)(109/matm), where MA and Mi are the molecular weight of dry air (28.97 g mol−1) and the studied gas i respectively, and matm is the mean dry mass of the atmosphere (5.1352×1018 kg) (Myhre et al., 2013b).

Short-lived climate forcer (SLCF). SLCFs include aerosols and chemically reactive gases, both affecting climate (Szopa et al., 2021). Depending on the species, their perturbation lifetimes, τ, range from a few hours to more than a decade. If τ<1–2 years, SLCFs are also called near-term climate forcers (NTCFs) i.e. are spatially highly heterogeneous. Otherwise they might also be called short-lived well-mixed GHGs.

Appendix B: Nomenclature
AGTP Absolute global temperature change potential
AGWP Absolute global warming potential
AR6/AR7 Sixth/Seventh assessment report
CCf Climate-carbon feedback
CF Characterisation factor
CH4 Methane
CO2 Carbon dioxide
CO2 eq. Carbon dioxide equivalent
ΔAGTP Climate-carbon feedback contribution to AGTP
ΔAGWP Climate-carbon feedback contribution to AGWP
ΔF Cumulative radiative forcing in a multi-pulse framework
ΔT Global mean temperature change in a multi-pulse framework
dLCA Dynamic life cycle analysis
EoL End-of-life
ERF Effective radiative forcing
GHG Greenhouse gas
GTP Global temperature change potential
GWP Global warming potential
H Horizon time
IPCC International panel on climate change
IRFi Impulse response function describing the atmospheric decay of a gas i
IRFT temporally displaced temperature response function of the Earth system
LCA Life cycle analysis
LCIA Life cycle Impact Assessment
LLCF Long-lived climate forcer
MIP Model intercomparison project
N2O Nitrous oxide
OH Hydroxyl radical
RE Radiative efficiency
RF Instantaneous radiative forcing
SLCF Short-lived climate forcer
σ Normal standard deviation
Code and data availability

The dynamic climate change assessment tool is accessible at https://gitcdr.univ-ubs.fr/DynCC/Metrics_assesment_tool (last access: 2 June 2025). Data are accessible using the code given above and in the tables in the Supplement.

Supplement

The supplement related to this article is available online at https://doi.org/10.5194/esd-16-2003-2025-supplement.

Author contributions

VZ: Writing – original draft preparation, Conceptualization, Methodology, Visualization. TL: Writing – review & editing, Conceptualization, Methodology, Supervision, Funding acquisition. SG: Writing – review & editing, Conceptualization, Supervision. YG: Software. MB: Writing – review & editing, Supervision. TG: Writing – review & editing, Resources, Validation. YH: Software.

Competing interests

The contact author has declared that none of the authors has any competing interests.

Disclaimer

Publisher's note: Copernicus Publications remains neutral with regard to jurisdictional claims made in the text, published maps, institutional affiliations, or any other geographical representation in this paper. While Copernicus Publications makes every effort to include appropriate place names, the final responsibility lies with the authors. Views expressed in the text are those of the authors and do not necessarily reflect the views of the publisher.

Acknowledgements

The authors wish to thank Serguei Sokol, for interesting input on uncertainty issues, and William Collins, Fortunat Joos, and Zebedee Nicholls, for sharing their datasets and advice.

Financial support

The authors received financial support from the French Agency for Ecological Transition (ADEME), project LOCABATI (grant no. 2204D0044).

Review statement

This paper was edited by Gabriele Messori and reviewed by two anonymous referees.

References

Aamaas, B., Peters, G. P., and Fuglestvedt, J. S.: Simple emission metrics for climate impacts, Earth Syst. Dynam., 4, 145–170, https://doi.org/10.5194/esd-4-145-2013, 2013. 

Abernethy, S. and Jackson, R. B.: Global temperature goals should determine the time horizons for greenhouse gas emission metrics, Environ. Res. Lett., 17, 024019, https://doi.org/10.1088/1748-9326/ac4940, 2022. 

Allen, M. R., Fuglestvedt, J. S., Shine, K. P., Reisinger, A., Pierrehumbert, R. T., and Forster, P. M.: New use of global warming potentials to compare cumulative and short-lived climate pollutants, Nature Clim. Change, 6, 773–776, https://doi.org/10.1038/nclimate2998, 2016. 

Allen, M. R., Shine, K. P., Fuglestvedt, J. S., Millar, R. J., Cain, M., Frame, D. J., and Macey, A. H.: A solution to the misrepresentations of CO2-equivalent emissions of short-lived climate pollutants under ambitious mitigation, npj Clim. Atmos. Sci., 1, 1–8, https://doi.org/10.1038/s41612-018-0026-8, 2018. 

Allen, M. R., Peters, G. P., Shine, K. P., Azar, C., Balcombe, P., Boucher, O., Cain, M., Ciais, P., Collins, W., Forster, P. M., Frame, D. J., Friedlingstein, P., Fyson, C., Gasser, T., Hare, B., Jenkins, S., Hamburg, S. P., Johansson, D. J. A., Lynch, J., Macey, A., Morfeldt, J., Nauels, A., Ocko, I., Oppenheimer, M., Pacala, S. W., Pierrehumbert, R., Rogelj, J., Schaeffer, M., Schleussner, C. F., Shindell, D., Skeie, R. B., Smith, S. M., and Tanaka, K.: Indicate separate contributions of long-lived and short-lived greenhouse gases in emission targets, npj Clim. Atmos. Sci., 5, 1–4, https://doi.org/10.1038/s41612-021-00226-2, 2022. 

Azar, C. and Johansson, D. J. A.: On the relationship between metrics to compare greenhouse gases – the case of IGTP, GWP and SGTP, Earth Syst. Dynam., 3, 139–147, https://doi.org/10.5194/esd-3-139-2012, 2012. 

Bare, J. C., Hofstetter, P., Pennington, D. W., and de Haes, H. A. U.: Midpoints versus endpoints: The sacrifices and benefits, Int. J. LCA, 5, 319–326, https://doi.org/10.1007/BF02978665, 2000. 

Boucher, O. and Reddy, M. S.: Climate trade-off between black carbon and carbon dioxide emissions, Energy Policy, 36, 193–200, https://doi.org/10.1016/j.enpol.2007.08.039, 2008. 

Boucher, O., Friedlingstein, P., Collins, B., and Shine, K. P.: The indirect global warming potential and global temperature change potential due to methane oxidation, Environ. Res. Lett., 4, 044007, https://doi.org/10.1088/1748-9326/4/4/044007, 2009. 

Cain, M., Lynch, J., Allen, M. R., Fuglestvedt, J. S., Frame, D. J., and Macey, A. H.: Improved calculation of warming-equivalent emissions for short-lived climate pollutants, npj Clim. Atmos. Sci., 2, 1–7, https://doi.org/10.1038/s41612-019-0086-4, 2019. 

Canadell, J. G., Monteiro, P. M. S., Costa, M. H., Cotrim da Cunha, L., Cox, P. M., Eliseev, A. V., Henson, S., Ishii, M., Jaccard, S., Koven, C., Lohila, A., Patra, P. K., Piao, S., Rogelj, J., Syampungani, S., Zaehle, S., and Zickfeld, K.: Global Carbon and other Biogeochemical Cycles and Feedbacks, in: Climate Change 2021: The Physical Science Basis. Contribution of Working Group I to the Sixth Assessment Report of the Intergovernmental Panel on Climate Change, edited by: Masson-Delmotte, V., Zhai, P., Pirani, A., Connors, S. L., Péan, C., Berger, S., Caud, N., Chen, Y., Goldfarb, L., Gomis, M. I., Huang, M., Leitzell, K., Lonnoy, E., Matthews, J. B. R., Maycock, T. K., Waterfield, T., Yelekçi, O., Yu, R., and Zhou, B., Cambridge University Press, Cambridge, United Kingdom and New York, NY, USA, 673–816, https://doi.org/10.1017/9781009157896.007, 2021. 

Cherubini, F., Fuglestvedt, J., Gasser, T., Reisinger, A., Cavalett, O., Huijbregts, M. A. J., Johansson, D. J. A., Jørgensen, S. V., Raugei, M., Schivley, G., Strømman, A. H., Tanaka, K., and Levasseur, A.: Bridging the gap between impact assessment methods and climate science, Environmental Science & Policy, 64, 129–140, https://doi.org/10.1016/j.envsci.2016.06.019, 2016. 

Collins, W. J., Frame, D. J., Fuglestvedt, J. S., and Shine, K. P.: Stable climate metrics for emissions of short and long-lived species – combining steps and pulses, Environ. Res. Lett., 15, 024018, https://doi.org/10.1088/1748-9326/ab6039, 2020. 

Crippa, M., Guizzardi, D., Schaaf, E., Monforti-Ferrario, F., Quadrelli, R., Risquez Martin, A., Rossi, S., Vignati, E., Muntean, M., Brandao De Melo, J., Oom, D., Pagani, F., Banja, M., Taghavi-Moharamli, P., Köykkä, J., Grassi, G., Branco, A., and San-Miguel, J.: GHG emissions of all world countries: 2023 - JRC/IEA Report, Publications Office of the European Union, Luxembourg, https://doi.org/10.2760/953322, 2023. 

Dhakal, S., Minx, J. C., Toth, F. L., Abdel-Aziz, A., Figueroa Meza, M. J., Hubacek, K., Jonckheere, I. G. C., Yong-Gun Kim, Nemet, G. F., Pachauri, S., Tan, X. C., and Wiedmann, T.: Emissions Trends and Drivers, in: IPCC, 2022: Climate Change 2022: Mitigation of Climate Change. Contribution of Working Group III to the Sixth Assessment Report of the Intergovernmental Panel on Climate Change, edited by: Shukla, P. R., Skea, J., Slade, R., Al Khourdajie, A., van Diemen, R., McCollum, D., Pathak, M., Some, S., Vyas, P., Fradera, R., Belkacemi, M., Hasija, A., Lisboa, G., Luz, S., and Malley, J., Cambridge University Press, Cambridge, UK and New York, NY, USA, https://doi.org/10.1017/9781009157926.004, 2022. 

Edwards, M. R. and Trancik, J. E.: Consequences of equivalency metric design for energy transitions and climate change, Climatic Change, 175, 4, https://doi.org/10.1007/s10584-022-03442-8, 2022. 

Etminan, M., Myhre, G., Highwood, E. J., and Shine, K. P.: Radiative forcing of carbon dioxide, methane, and nitrous oxide: A significant revision of the methane radiative forcing, Geophysical Research Letters, 43, 12614–12623, https://doi.org/10.1002/2016GL071930, 2016. 

FAO: Methane emissions in livestock and rice systems. Sources, quantification, mitigation and metrics, FAO, Rome, Italy, 352 pp., https://doi.org/10.4060/cc7607en, 2023. 

Fearnside, P. M.: Global Warming and Tropical Land-Use Change: Greenhouse Gas Emissions from Biomass Burning, Decomposition and Soils in Forest Conversion, Shifting Cultivation and Secondary Vegetation, Climatic Change, 46, 115–158, https://doi.org/10.1023/A:1005569915357, 2000. 

Forster, P., Ramaswamy, V., Artaxo, P., Berntsen, T., Betts, R., Fahey, D. W., Haywood, J., Lean, J., Lowe, D. C., Raga, G., Schulz, M., Dorland, R. V., Bodeker, G., Etheridge, D., Foukal, P., Fraser, P., Geller, M., Joos, F., Keeling, C. D., Keeling, R., Kinne, S., Lassey, K., Oram, D., O'Shaughnessy, K., Ramankutty, N., Reid, G., Rind, D., Rosenlof, K., Sausen, R., Schwarzkopf, D., Solanki, S. K., Stenchikov, G., Stuber, N., Takemura, T., Textor, C., Wang, R., Weiss, R., Whorf, T., Nakajima, T., Ramanathan, V., Ramaswamy, V., Artaxo, P., Berntsen, T., Betts, R., Fahey, D. W., Haywood, J., Lean, J., Lowe, D. C., Myhre, G., Nganga, J., Prinn, R., Raga, G., Schulz, M., and Dorland, R. V.: Changes in Atmospheric Constituents and in Radiative Forcing, in: Climate Change 2007: The Physical Science Basis, Contribution of Working Group I to the Forth Assessment Report of the Intergovernmental Panel on Climate Change, edited by: Solomon, S., Qin, D., Manning, M., Chen, Z., Marquis, M., Averyt, K. B., Tignor, M. and Miller, H. L., Cambridge University Press, https://archive.ipcc.ch/publications_and_data/ar4/wg1/en/ch2.html (last access: 13 November 2025), 2007. 

Forster, P., Storelvmo, T., Armour, K., Collins, W., Dufresne, J.-L., Frame, D., Lunt, D. J., Mauritsen, T., Palmer, M. D., Watanabe, M., Wild, M., and Zhang, H.: The Earth's Energy Budget, Climate Feedbacks, and Climate Sensitivity, in: Climate Change 2021: The Physical Science Basis. Contribution of Working Group I to the Sixth Assessment Report of the Intergovernmental Panel on Climate Change, edited by: Masson-Delmotte, V., Zhai, P., Pirani, A., Connors, S. L., Péan, C., Berger, S., Caud, N., Chen, Y., Goldfarb, L., Gomis, M. I., Huang, M., Leitzell, K., Lonnoy, E., Matthews, J. B. R., Maycock, T. K., Waterfield, T., Yelekçi, O., Yu, R., and Zhou, B., Cambridge University Press, Cambridge, United Kingdom and New York, NY, USA, 923–1054, https://doi.org/10.1017/9781009157896.009, 2021. 

Fuglestvedt, J., Rogelj, J., Millar, R. J., Allen, M., Boucher, O., Cain, M., Forster, P. M., Kriegler, E., and Shindell, D.: Implications of possible interpretations of `greenhouse gas balance' in the Paris Agreement, Philosophical Transactions of the Royal Society A, 376, 20160445, https://doi.org/10.1098/rsta.2016.0445, 2018. 

Fuglestvedt, J. S., Berntsen, T. K., Godal, O., Sausen, R., Shine, K. P., and Skodvin, T.: Metrics of Climate Change: Assessing Radiative Forcing and Emission Indices, Climatic Change, 58, 267–331, https://doi.org/10.1023/A:1023905326842, 2003. 

Fuglestvedt, J. S., Shine, K. P., Berntsen, T., Cook, J., Lee, D. S., Stenke, A., Skeie, R. B., Velders, G. J. M., and Waitz, I. A.: Transport impacts on atmosphere and climate: Metrics, Atmospheric Environment, 44, 4648–4677, https://doi.org/10.1016/j.atmosenv.2009.04.044, 2010. 

Gasser, T., Peters, G. P., Fuglestvedt, J. S., Collins, W. J., Shindell, D. T., and Ciais, P.: Accounting for the climate–carbon feedback in emission metrics, Earth Syst. Dynam., 8, 235–253, https://doi.org/10.5194/esd-8-235-2017, 2017. 

Geoffroy, O., Sain-Martin, D., Olivié, D. J. L., Voldoire, A., Bellon, G., and Tytéca, S.: Transient Climate Response in a Two-Layer Energy-Balance Model. Part I: Analytical Solution and Parameter Calibration Using CMIP5 AOGCM Experiments, Journal of Climate, 26, 1841–1857, https://doi.org/10.1175/JCLI-D-12-00195.1, 2013. 

Hodnebrog, Ø., Etminan, M., Fuglestvedt, J. S., Marston, G., Myhre, G., Nielsen, C. J., Shine, K. P., and Wallington, T. J.: Global warming potentials and radiative efficiencies of halocarbons and related compounds: A comprehensive review, Reviews of Geophysics, 51, 300–378, https://doi.org/10.1002/rog.20013, 2013. 

IPCC: Summary for Policymakers, in: Global Warming of 1.5 °C. An IPCC Special Report on the impacts of global warming of 1.5 °C above pre-industrial levels and related global greenhouse gas emission pathways, in the context of strengthening the global response to the threat of climate change, sustainable development, and efforts to eradicate poverty. edited by: Masson-Delmotte, V., Zhai, P., Pörtner, H.-O., Roberts, D., Skea, J., Shukla, P. R., Pirani, A., Moufouma-Okia, W., Péan, C., Pidcock, R., Connors, S., Matthews, J. B. R., Chen, Y., Zhou, X., Gomis, M. I., Lonnoy, E., Maycock, T., Tignor, M., and Waterfield, T., Cambridge University Press, Cambridge, UK and New York, NY, USA, 3–24, https://doi.org/10.1017/9781009157940.001, 2018. 

IPCC: Climate Change 2021 – The Physical Science Basis: Working Group I Contribution to the Sixth Assessment Report of the Intergovernmental Panel on Climate Change, edited by: Masson-Delmotte, V., Zhai, P., Pirani, A., Connors, S. L., Péan, C., Berger, S., Caud, N., Chen, Y., Goldfarb, L., Gomis, M. I., Huang, M., Leitzell, K., Lonnoy, E., Matthews, J. B. R., Maycock, T. K., Waterfield, T., Yelekçi, O., Yu, R., and Zhou, B., Cambridge University Press, Cambridge, https://doi.org/10.1017/9781009157896, 2021a. 

IPCC: Summary for Policymakers, in: Climate Change 2021: The Physical Science Basis. Contribution of Working Group I to the Sixth Assessment Report of the Intergovernmental Panel on Climate Change, edited by: Masson-Delmotte, V., Zhai, P., Pirani, A., Connors, S. L., Péan, C., Berger, S., Caud, N., Chen, Y., Goldfarb, L., Gomis, M. I., Huang, M., Leitzell, K., Lonnoy, E., Matthews, J. B. R., Maycock, T. K., Waterfield, T., Yelekçi, O., Yu, R., and Zhou, B., 3–32, https://doi.org/10.1017/9781009157896.001, 2021b. 

Jolliet, O., Antón, A., Boulay, A.-M., Cherubini, F., Fantke, P., Levasseur, A., McKone, T. E., Michelsen, O., Milà i Canals, L., Motoshita, M., Pfister, S., Verones, F., Vigon, B., and Frischknecht, R.: Global guidance on environmental life cycle impact assessment indicators: impacts of climate change, fine particulate matter formation, water consumption and land use, Int. J. Life Cycle Assess., 23, 2189–2207, https://doi.org/10.1007/s11367-018-1443-y, 2018. 

Joos, F., Roth, R., Fuglestvedt, J. S., Peters, G. P., Enting, I. G., von Bloh, W., Brovkin, V., Burke, E. J., Eby, M., Edwards, N. R., Friedrich, T., Frölicher, T. L., Halloran, P. R., Holden, P. B., Jones, C., Kleinen, T., Mackenzie, F. T., Matsumoto, K., Meinshausen, M., Plattner, G.-K., Reisinger, A., Segschneider, J., Shaffer, G., Steinacher, M., Strassmann, K., Tanaka, K., Timmermann, A., and Weaver, A. J.: Carbon dioxide and climate impulse response functions for the computation of greenhouse gas metrics: a multi-model analysis, Atmos. Chem. Phys., 13, 2793–2825, https://doi.org/10.5194/acp-13-2793-2013, 2013. 

Kandlikar, M.: Indices for comparing greenhouse gas emissions: integrating science and economics, Energy Economics, 18, 265–281, https://doi.org/10.1016/S0140-9883(96)00021-7, 1996. 

Kirschbaum, M. U. F.: Climate-change impact potentials as an alternative to global warming potentials, Environ. Res. Lett., 9, 034014, https://doi.org/10.1088/1748-9326/9/3/034014, 2014. 

Lelieveld, J., Crutzen, P. J., and Dentener, F. J.: Changing concentration, lifetime and climate forcing of atmospheric methane, Tellus B, 50, 128–150, https://doi.org/10.1034/j.1600-0889.1998.t01-1-00002.x, 1998. 

Levasseur, A., Lesage, P., Margni, M., Deschênes, L., and Samson, R.: Considering Time in LCA: Dynamic LCA and Its Application to Global Warming Impact Assessments, Environ. Sci. Technol., 44, 3169–3174, https://doi.org/10.1021/es9030003, 2010. 

Levasseur, A., Brandão, M., Lesage, P., Margni, M., Pennington, D., Clift, R., and Samson, R.: Valuing temporary carbon storage, Nature Clim. Change, 2, 6–8, https://doi.org/10.1038/nclimate1335, 2012. 

Levasseur, A., Cavalett, O., Fuglestvedt, J. S., Gasser, T., Johansson, D. J. A., Jørgensen, S. V., Raugei, M., Reisinger, A., Schivley, G., Strømman, A., Tanaka, K., and Cherubini, F.: Enhancing life cycle impact assessment from climate science: Review of recent findings and recommendations for application to LCA, Ecological Indicators, 71, 163–174, https://doi.org/10.1016/j.ecolind.2016.06.049, 2016a. 

Levasseur, A., de Schryver, A., Hauschild, M., Kabe, Y., Sahnoune, A., Tanaka, K., and Cherubini, F.: Greenhouse gas emissions and climate change impacts, in: Global Guidance for Life Cycle Impact Assessment Indicators, UNEP/SETAC Life Cycle Initiative, vol. 1, edited by: Frischknecht, R. and Jolliet, O., United Nations Environment Programme, 60–79, 2016b. 

Lund, M. T., Aamaas, B., Stjern, C. W., Klimont, Z., Berntsen, T. K., and Samset, B. H.: A continued role of short-lived climate forcers under the Shared Socioeconomic Pathways, Earth Syst. Dynam., 11, 977–993, https://doi.org/10.5194/esd-11-977-2020, 2020. 

Meinshausen, M., Nicholls, Z. R. J., Lewis, J., Gidden, M. J., Vogel, E., Freund, M., Beyerle, U., Gessner, C., Nauels, A., Bauer, N., Canadell, J. G., Daniel, J. S., John, A., Krummel, P. B., Luderer, G., Meinshausen, N., Montzka, S. A., Rayner, P. J., Reimann, S., Smith, S. J., van den Berg, M., Velders, G. J. M., Vollmer, M. K., and Wang, R. H. J.: The shared socio-economic pathway (SSP) greenhouse gas concentrations and their extensions to 2500, Geosci. Model Dev., 13, 3571–3605, https://doi.org/10.5194/gmd-13-3571-2020, 2020. 

Muñoz, I. and Schmidt, J. H.: Methane oxidation, biogenic carbon, and the IPCC's emission metrics. Proposal for a consistent greenhouse-gas accounting, Int J Life Cycle Assess, 21, 1069–1075, https://doi.org/10.1007/s11367-016-1091-z, 2016. 

Myhre, G., Shindell, D., Bréon, F.-M., Collins, W., Fuglestvedt, J., Huang, J., Koch, D., Lamarque, J.-F., Lee, D., Mendoza, B., Nakajima, T., Robock, A., Stephens, G., Zhang, H., Aamaas, B., Boucher, O., Dalsøren, S. B., Daniel, J. S., Forster, P., Granier, C., Haigh, J., Hodnebrog, Ø., Kaplan, J. O., Marston, G., Nielsen, C. J., O'Neill, B. C., Peters, G. P., Pongratz, J., Ramaswamy, V., Roth, R., Rotstayn, L., Smith, S. J., Stevenson, D., Vernier, J.-P., Wild, O., Young, P., Jacob, D., Ravishankara, A. R., and Shine, K.: Anthropogenic and Natural Radiative Forcing, in: Climate Change 2013: The Physical Science Basis. Contribution of Working Group I to the Fifth Assessment Report of the Intergovernmental Panel on Climate Change, edited by: Stocker, T. F., Qin, D., Plattner, G.-K., Tignor, M., Allen, S. K., Boschung, J., Nauels, A., Xia, Y., Bex, V., and Midgley, P. M., Cambridge University Press, Cambridge, United Kingdom and New York, NY, USA, https://doi.org/10.1017/CBO9781107415324.018, 2013a. 

Myhre, G., Shindell, D., Bréon, F.-M., Collins, W., Fuglestvedt, J., Huang, J., Koch, D., Lamarque, J.-F., Lee, D., Mendoza, B., Nakajima, T., Robock, A., Stephens, G., Takemura, T., and Zhang, H.: Anthropogenic and Natural Radiative Forcing. Supplementary Material, in: Climate Change 2013: The Physical Science Basis. Contribution of Working Group I to the Fifth Assessment Report of the Intergovernmental Panel on Climate Change, edited by: Stocker, T. F., Qin, D., Plattner, G.-K., Tignor, M., Allen, S. K., Boschung, J., Nauels, A., Xia, Y., Bex, V., and Midgley, P. M., December, https://doi.org/10.1017/CBO9781107415324.018, 2013b. 

NOAA: Monthly Average Mauna Loa CO2: https://gml.noaa.gov/ccgg/trends/mlo.html, last access: 20 September 2024. 

O'Connor, F. M., Johnson, B. T., Jamil, O., Andrews, T., Mulcahy, J. P., and Manners, J.: Apportionment of the Pre-Industrial to Present-Day Climate Forcing by Methane Using UKESM1: The Role of the Cloud Radiative Effect, Journal of Advances in Modeling Earth Systems, 14, e2022MS002991, https://doi.org/10.1029/2022MS002991, 2022. 

Olivié, D. J. L. and Peters, G. P.: Variation in emission metrics due to variation in CO2 and temperature impulse response functions, Earth System Dynamics, 4, 267–286, https://doi.org/10.5194/esd-4-267-2013, 2013. 

O'Neill, B. C.: The Jury is Still Out on Global Warming Potentials, Climatic Change, 44, 427–443, https://doi.org/10.1023/A:1005582929198, 2000. 

Peters, G. P., Aamaas, B., Berntsen, T., and Fuglestvedt, J. S.: The integrated global temperature change potential (iGTP) and relationships between emission metrics, Environ. Res. Lett., 6, 044021, https://doi.org/10.1088/1748-9326/6/4/044021, 2011a. 

Peters, G. P., Aamaas, B., Lund, T. M., Solli, C., and Fuglestvedt, J. S.: Alternative “Global Warming” Metrics in Life Cycle Assessment: A Case Study with Existing Transportation Data, Environ. Sci. Technol., 45, 8633–8641, https://doi.org/10.1021/es200627s, 2011b. 

Prather, M. J., Hsu, J., DeLuca, N. M., Jackman, C. H., Oman, L. D., Douglass, A. R., Fleming, E. L., Strahan, S. E., Steenrod, S. D., Søvde, O. A., Isaksen, I. S. A., Froidevaux, L., and Funke, B.: Measuring and modeling the lifetime of nitrous oxide including its variability, Journal of Geophysical Research: Atmospheres, 120, 5693–5705, https://doi.org/10.1002/2015JD023267, 2015. 

Raupach, M. R., Gloor, M., Sarmiento, J. L., Canadell, J. G., Frölicher, T. L., Gasser, T., Houghton, R. A., Le Quéré, C., and Trudinger, C. M.: The declining uptake rate of atmospheric CO2 by land and ocean sinks, Biogeosciences, 11, 3453–3475, https://doi.org/10.5194/bg-11-3453-2014, 2014. 

RDC Environnement, Etude N°2023-02 Dimension Dynamique en ACV, Rapport final, SCORE LCA, 2024. 

Reisinger, A., Meinshausen, M., Manning, M., and Bodeker, G.: Uncertainties of global warming metrics: CO2 and CH4, Geophysical Research Letters, 37, https://doi.org/10.1029/2010GL043803, 2010. 

Reisinger, A., Meinshausen, M., and Manning, M.: Future changes in global warming potentials under representative concentration pathways, Environ. Res. Lett., 6, 024020, https://doi.org/10.1088/1748-9326/6/2/024020, 2011. 

Richardson, K., Steffen, W., Lucht, W., Bendtsen, J., Cornell, S. E., Donges, J. F., Drüke, M., Fetzer, I., Bala, G., von Bloh, W., Feulner, G., Fiedler, S., Gerten, D., Gleeson, T., Hofmann, M., Huiskamp, W., Kummu, M., Mohan, C., Nogués-Bravo, D., Petri, S., Porkka, M., Rahmstorf, S., Schaphoff, S., Thonicke, K., Tobian, A., Virkki, V., Wang-Erlandsson, L., Weber, L., and Rockström, J.: Earth beyond six of nine planetary boundaries, Science Advances, 9, eadh2458, https://doi.org/10.1126/sciadv.adh2458, 2023. 

Ricke, K. L. and Caldeira, K.: Maximum warming occurs about one decade after a carbon dioxide emission, Environ. Res. Lett., 9, 124002, https://doi.org/10.1088/1748-9326/9/12/124002, 2014. 

Rockström, J., Steffen, W., Noone, K., Persson, Å., Chapin, F. S., Lambin, E., Lenton, T. M., Scheffer, M., Folke, C., Schellnhuber, H. J., Nykvist, B., de Wit, C. A., Hughes, T., van der Leeuw, S., Rodhe, H., Sörlin, S., Snyder, P. K., Costanza, R., Svedin, U., Falkenmark, M., Karlberg, L., Corell, R. W., Fabry, V. J., Hansen, J., Walker, B., Liverman, D., Richardson, K., Crutzen, P., and Foley, J.: Planetary Boundaries: Exploring the Safe Operating Space for Humanity, Ecology and Society, 14, https://www.jstor.org/stable/26268316 (last access: 13 November 2025), 2009. 

Shine, K. P.: The global warming potential – the need for an interdisciplinary retrial, Climatic Change, 96, 467–472, https://doi.org/10.1007/s10584-009-9647-6, 2009. 

Shine, K. P., Fuglestvedt, J. S., Hailemariam, K., and Stuber, N.: Alternatives to the Global Warming Potential for Comparing Climate Impacts of Emissions of Greenhouse Gases, Climatic Change, 68, 281–302, https://doi.org/10.1007/s10584-005-1146-9, 2005. 

Smith, C., Nicholls, Z. R. J., Armour, K., Collins, W., Forster, P., Meinshausen, M., Palmer, M. D., and Watanabe, M.: The Earth's Energy Budget, Climate Feedbacks, and Climate Sensitivity Supplementary Material, in: Climate Change 2021: The Physical Science Basis. Contribution of Working Group I to the Sixth Assessment Report of the Intergovernmental Panel on Climate Change, edited by: Masson-Delmotte, V., Zhai, P., Pirani, A., Connors, S. L., Péan, C., Berger, S., Caud, N., Chen, Y., Goldfarb, L., Gomis, M. I., Huang, M., Leitzell, K., Lonnoy, E., Matthews, J. B. R., Maycock, T. K., Waterfield, T., Yelekçi, O., Yu, R., and Zhou, B., 35 pp., https://www.ipcc.ch/report/ar6/wg1/downloads/report/IPCC_AR6_WGI_Chapter07_SM.pdf, 2021. 

Steffen, W., Broadgate, W., Deutsch, L., Gaffney, O., and Ludwig, C.: The trajectory of the Anthropocene: The Great Acceleration, The Anthropocene Review, 2, 81–98, https://doi.org/10.1177/2053019614564785, 2015. 

Sterner, E., Johansson, D. J. A., and Azar, C.: Emission metrics and sea level rise, Climatic Change, 127, 335–351, https://doi.org/10.1007/s10584-014-1258-1, 2014. 

Stevenson, D. S., Zhao, A., Naik, V., O'Connor, F. M., Tilmes, S., Zeng, G., Murray, L. T., Collins, W. J., Griffiths, P. T., Shim, S., Horowitz, L. W., Sentman, L. T., and Emmons, L.: Trends in global tropospheric hydroxyl radical and methane lifetime since 1850 from AerChemMIP, Atmos. Chem. Phys., 20, 12905–12920, https://doi.org/10.5194/acp-20-12905-2020, 2020. 

Szopa, S., Naik, V., Adhikary, B., Artaxo, P., Berntsen, T., Collins, W. D., Fuzzi, S., Gallardo, L., Kiendler-Scharr, A., Klimont, Z., Liao, H., Unger, N., and Zanis, P.: Short-Lived Climate Forcers, in: Climate Change 2021: The Physical Science Basis. Contribution of Working Group I to the Sixth Assessment Report of the Intergovernmental Panel on Climate Change, edited by: Masson-Delmotte, V., Zhai, P., Pirani, A., Connors, S. L., Péan, C., Berger, S., Caud, N., Chen, Y., Goldfarb, L., Gomis, M. I., Huang, M., Leitzell, K., Lonnoy, E., Matthews, J. B. R., Maycock, T. K., Waterfield, T., Yelekçi, O., Yu, R., and Zhou, B., Cambridge University Press, Cambridge, United Kingdom and New York, NY, USA, 817–922, https://doi.org/10.1017/9781009157896.008, 2021.  

Tanaka, K., Boucher, O., Ciais, P., Johansson, D. J. A., and Morfeldt, J.: Cost-effective implementation of the Paris Agreement using flexible greenhouse gas metrics, Science Advances, 7, eabf9020, https://doi.org/10.1126/sciadv.abf9020, 2021. 

Tiruta-Barna, L.: A climate goal–based, multicriteria method for system evaluation in life cycle assessment, Int. J. Life Cycle Assess., 26, 1913–1931, https://doi.org/10.1007/s11367-021-01991-1, 2021. 

Zieger, V., Lecompte, T., and Hellouin de Menibus, A.: Impact of GHGs temporal dynamics on the GWP assessment of building materials: A case study on bio-based and non-bio-based walls, Building and Environment, 185, 107210, https://doi.org/10.1016/j.buildenv.2020.107210, 2020. 

Download
Short summary
Absolute and dynamic climate change metrics are robust to design climate neutral systems. This work supports the adoption of such metrics by environmental assessment communities thanks to a

  1. clear and pedagogical presentation of up-to-date climate equations, climate parameters and associated uncertainties;
  2. dynamic metrics interpretation support;
  3. recommendations of new characterisation factors for temperature change metrics in future assessment reports;
  4. open-source assessment tool release.
Share
Altmetrics
Final-revised paper
Preprint